
Carol Gartrell was Acting Head of School of Music at the time that a collective grievance was filed on 22 June 2005 by eleven of Senior Lecturer, Dr Fredrics' colleagues.
Here are a series of documents related to workplace stress at Kingston University's School of Music.
Here are a series of documents related to Dr Gartrell's actions in response to Dr Fredrics' efforts to, on the advice of his GP, attend on-campus rehearsals for his opera while he remained signed off from work on stress-related sick leave.
Here is a series of documents related to Dr Gartrell's management of Dr Fredrics' working methods.
Here is information on how Dr Gartrell colluded with HR and Dean of FASS, Prof Gail Cunningham and how she led the way for the filing of an unlawful collective grievance against Dr Fredrics.
After reviewing these documents, do you believe that Dr Gartrell, indeed, acted properly, or do you believe that she acted with clear malice towards Dr Fredrics in order to prevent the performance of Dr Fredrics' opera, to damage his working relationships with his colleagues and to damage his reputation before senior management?

Here is an example of what Dr Gartrell wrote to Personnel and to the Dean following the reporting on 23 April 2005 by Dr Fredrics of Health & Safety violations in the School of Music.
Is there anything which you find 'threatening' or 'inappropriate' about Dr Fredrics' email to Dr Gartrell that would have justified her making such a complaint? Or is this merely an example of victimisation of Dr Fredrics for his having made a legitimate protected disclosure?
Here is an example of what Dr Gartrell wrote to Personnel shortly before holding a meeting with staff and senior management to discuss plans for filing a grievance against Dr Fredrics:-
Why did Dr Gartrell request copies of Dr Fredrics' references immediately prior to a meeting held with staff and senior management to discuss the filing of a collective grievance against Dr Fredrics?
Could it have been in order to dredge up what she believed would be evidence of prior difficulties with Dr Fredrics?
And just what do you think she found when she examined those references?
Why do you think Dr Gartrell thereafter decided not to bring Dr Fredrics' references forward as evidence of past bad behavior?
The Toy Gun
Dr Fredrics composed an opera on the subject of Jack 'Kid' Berg, some of which is set during the 1920s and 30s in prohibition-era New York, where notorious gangsters, such as Jack 'Legs' Diamond were part of the speakeasy nightclub scene. The opera contains a scene at the famous Silver Slipper nightclub, which was frequented by 'Legs' Diamond and his mistress, Kiki Roberts.
Many of Dr Fredrics' colleagues at Kingston University had recently attended the premiere performance of the opera, including both Mike Searby and Frank Millward. They were, therefore, familiar with the fact that gun-toting gangster, 'Legs' Diamond's character appears in the nightclub scene and knew exactly what Dr Fredrics was referring to when he made a tongue-in-cheek remark about having a gun -- just like all Americans (sic) -- in the context of a conversation where he was bemoaning the increase in gun violence in contemporary society.
Here is what Frank Millward wrote and sent to Dr Gartrell, Mr Searby and Personnel following their conversation:
Click to listen to a song expressing how we felt when we read the above memo.
The following is a music video of the above song:-
Yes, it is admitted that Dr Fredrics was, indeed, given a plastic toy gun by his solicitor friend for use as a prop in his opera.
But does this mean that Dr Fredrics posed a genuine danger to the safety of staff in the former School of Music?
Or did Dr Gartrell instruct staff to invent damaging 'evidence' as part of a plan to support management's case for dismissing Dr Fredrics?
What do you think?

"We should all be assured that we are contributing to the goal of Christian
Aid, which is “We believe in life before death” - G. Toplis
Dr Fredrics was assigned to moderate the marks assigned to student work by one of his colleagues.
He was instructed by the Course Director, Gloria Toplis to flag up all borderline passing and borderline failing work for review.
But in attempting to do so, he came upon something that prevented him from doing this:-
Although given a spreadsheet containing marks, a large number of which were assigned the borderline failing mark of 39, Dr Fredrics was unable to locate the corresponding pieces of work, either on disc or in a set of printouts of the work containing the first marker's comments.
He then showed the disc and set of printouts to another staff member, and without offering any details, asked the staff member if, after looking at the work, she noticed anything strange or unusual.
She immediately noted that she was unable to find the pieces of work that were listed as marked at 39 on the spreadsheet.
Having confirmed his concerns, Dr Fredrics, attempted to arrange a meeting with the first marker to discuss his findings in the hopes that there was simply an inadvertent omission from the set of work, and that the matter could be readily cleared up, thus allowing him to complete the moderation.
Unfortunately, the staff member refused to meet with Dr Fredrics.
Dr Fredrics, being therefore unable to complete the moderation process, went to speak with his then line manager, Dr David Osbon, who advised him to contact Ms Toplis or Dr Gartrell about the matter.
Dr Fredrics then sent an e-mail to Ms Toplis, in response to a previous e-mail from her, in which he also indicated that he was concerned that there "may be some fraudulent marking."
He did not say that there was, in fact, fraudulent marking, as he believed it was certainly quite possible that there was a perfectly innocent explanation for the missing work, but since he was unable to meet with the staff member, he had no way to ascertain what had actually transpired.
He was well aware that making any formal accusation was a serious matter that should not be entered into lightly.
Therefore, rather than raising a formal complaint, he took the responsible and prudent course of writing to Ms Toplis for advice and assistance on how to handle the situation, in the hopes that it might be resolved expeditiously and with a minimum of fuss, so that he could get on with the moderation.
Here is Dr Fredrics' e-mail to Ms Toplis along with her original e-mail to which he was replying:-
Shortly after sending the email, Dr Fredrics encountered Ms Toplis in the hallway and asked to speak with her about his concerns.
She requested that he provide her with the work and disc so that she could investigate the matter further, a suggestion that Dr Fredrics readily accepted.
Later that afternoon, she returned the materials to Dr Fredrics and indicated that she and Dr Gartrell had checked the work and had found the missing work both on the disc and in the set of printouts.
Dr Fredrics expressed a bit of puzzlement at how the work managed to evade both him and another staff member, but accepted Ms Toplis's findings and indicated that he was happy to put the matter to rest, now that the work was there for him to moderate.
He took no further action on his initial concerns, and the matter was, indeed laid to rest as far as he was concerned.
But instead of herself laying the matter to rest, Ms Toplis forwarded Dr Fredrics' initial email to Dr Gartrell.
Dr Gartrell, in turn, forwarded Ms Toplis' email to Personnel and to two Deans, including her own comments on the matter, as well as further comments on the "Toy Gun" debacle.
Here is what Dr Gartrell wrote:-
Why would Dr Fredrics have stated that the work was missing, if he knew that upon further examination by Ms Toplis, it would be found to be present?
Could it be that he genuinely believed it was, indeed, missing, and that his belief had been reinforced following the examination of the work by another colleague?
What else could Dr Fredrics have reasonably and responsibly done in this instance where he could not locate the work to moderate, and where the first marker had refused to meet with him to discuss his concerns?
Why did Dr Gartrell forward the correspondence between Ms Toplis and Dr Fredrics when the matter was already resolved?
Why did Dr Gartrell falsely accuse Dr Fredrics of having made accusations of fraudulent marking in a public moderator's report?
Why did Dr Gartrell conclude that Dr Fredrics' comments about the toy gun were intended as anything other than ironic, tongue-in-cheek commentary in the context of a conversation in which he bemoaned the state of gun violence in contemporary society?
Is that how she really felt?
Or was there another agenda lurking beneath the surface?
What do you think?
Drafting of the Collective Grievance -- Who Was Responsible?
According to Kingston University, a collective grievance was filed by a group of Dr Fredrics' colleagues, motivated by genuine concerns that they supposedly had about working with Dr Fredrics.
But if each staff member had their own set of individual complaints and signed under their own initiative, why in fact, was the grievance drafted by Dr Gartrell and turned over to senior management for further refinements?
How do you interpret Dr Gartrell's reference to her having agreed to sign the grievance - "..and myself of course."
Does her strong emphasis suggest to you that she was, in reality, the sole complainant, and that she used her power as Acting Head of School to pressure subordinates into signing on to her personal crusade against Dr Fredrics?
Does drafting and refining of a grievance statement by management, and then handing it over to all staff to sign constitute 'undue pressure' on rank and file staff members?
Here's what Dr Gartrell wrote to Gail Cunningham, Dean of FASS, Penny Sparke, Dean of Art, Design and Music, and Liz Lanchberry (aka Liz Scholey), Director of Personnel when she sent them her draft of the grievance and requested advice on changes and amendments.
Following that, is a reply from Prof Cunningham.


Do you think it was appropriate for Dr Gartrell to have solicited advice from senior management on the wording of the grievance?

Prof Gail Cunningham
Dean of FASS
And once Gail Cunningham became involved in providing advice on the grievance statement, shouldn't she have recused herself from hearing the ensuing disciplinary case against Dr Fredrics?
What do YOU think?
Isolating The Target
Following the filing of the collective grievance, Dr Gartrell wrote to senior management to express her concerns about how Dr Fredrics would react to the grievance:

What evidence did Dr Gartrell present to support her alleged concern for staff safety?
Could it have been because Dr Fredrics admitted that he owned a toy gun that was used as a prop in his opera?
What was the purpose of writing this letter to senior management?
Could it have been to encourage the suspension of Dr Fredrics so as to further isolate him?
Why did Dr Gartrell ask the question about publicity?
What evidence did she bring forth about her allegations of prior threats to 'bad mouth' colleagues, the School and the University?
Could it be that there was no such evidence, other than the fact that in March 2005, after receiving an e-mail from Dr Gartrell in which she ordered him to cease rehearsing his opera, Dr Fredrics indicated that he might be forced to expose the truth about Dr Gartrell's clear attempts to block the performance of his opera by simply reading her OWN WORDS during a radio interview if the performance was, indeed, cancelled and if he were then asked by the radio interviewer to explain the reason for the cancellation?
(n.b. Dr Fredrics later learned that Dr Gartrell's order was entirely unreasonable, having been based on false pretenses, and he was advised to disregard it -- the opera performance then went forward without a hitch).
Could it be that the REAL reason for Dr Gartrell having included this question was in order to raise management's concern about the possibility of bad publicity in order to cause the University to act to silence Dr Fredrics?
Why did Dr Gartrell raise the question about consulting with the University's legal department?
Could this have been because she wanted to imply that she would consider taking legal action against the University if they didn't do what she wanted by suspending and ultimately dismissing Dr Fredrics?
What do YOU think?
Undue Pressure?
Here is an example of what Dr Gartrell told her subordinates on 5 July 2007, immediately prior their meeting with the University's 'independent' investigator, Zafar Ali.
Does holding a meeting with staff, such as that which took place at the direction of Carol Gartrell, constitute 'undue pressure'? You decide.

Tim Ewers, one of the staff members who was asked by Dr Gartrell to attend a meeting to "check that nothing falls 'between the gaps'" then wrote on 7 July 2005 to his union rep. In this letter, Dr Ewers reveals some interesting background about how the collective grievance was developed and initiated. He also demonstrates that this was not the first collective grievance to be put forward in the School of Music.
What does this email show regarding whether or not 'undue pressure' was exerted upon staff by management to sign onto a collective grievance against a colleague?
Is filing a collective grievance against a colleague tantamount to bullying/mobbing? What do you think?

A One-Sided Investigation?
At a meeting held on 29 June 2005, Dr Fredrics was told by the then HR Director, Liz Lanchbery, that he could submit a list of witnesses to be interviewed by the University's investigator, Mr Zafar Ali, and that these witnesses would then be contacted by Mr Ali. This never happened, and none of the numerous witnesses nominated by Dr Fredrics to be interviewed were ever contacted by Mr Ali and/or the University.
Following Dr Fredrics' effective suspension on 29 June, 2005, Dr Carol Gartrell wrote to all staff members in the School of Music, instructing them to refrain from having any contact with Dr Fredrics. In addition to instructing staff members who had signed the collective grievance against Dr Fredrics, Dr Gartrell also issued this instruction to staff members who had not signed the collective grievance, thereby making it difficult, if not impossible, for Dr Fredrics to enlist their support as witnesses on his behalf.
Here is a copy of the email sent to colleagues who had not signed the collective grievance against Dr Fredrics:-
In early 2003, Dr Fredrics was approached by a colleague, Mike Searby, to sign a letter of grievance against his manager. Dr Fredrics decided that he did not want to become involved in such matters, as he was new in in post, still on probation, and simply did not wish to join in a mob action to address concerns about his manager.
But Mr Searby did not take no for an answer. He continued to pressurize Dr Fredrics and even approached Dr Fredrics' wife, Lori to try to prevail upon her to convince Dr Fredrics to sign the letter of grievance. He also told Dr Fredrics that ALL other staff had signed the letter (a false statement) and that it would not be in his (Dr Fredrics) "best interests" to not sign the letter -- a clear threat, which Dr Fredrics understood as such. Shortly thereafter, Mr Searby and another colleague, Dr Frank Millward approached Mrs Fredrics to try to pressurize her further into getting Dr Fredrics to sign the grievance. They told Mrs Fredrics that Dr Fredrics was already becoming "marginalized" and that he would "find himself being sent back to the US" if he ended up on the "wrong side" of the battle against his manager.
The following recording of a conversation amongst UCU union rep., Chris Wills, Personnel Director, Liz Lanchbery and Dr Fredrics documents Mr Wills request to Mrs Lanchbery that the University's appointed "independent" investigator, Mr Zafar Ali, look into allegations that Dr Fredrics was threatened by his colleagues with the loss of his job if he did not sign onto the letter of grievance against his manager. You'll note that Mrs Lanchbery agrees to formally instruct Mr Ali to perform such an investigation upon receipt of a written request from Mr Wills, who did precisely that. (n.b. the recording contains brief silences where the name of Dr Fredrics' manager is mentioned, in order to respect the privacy of that individual).
Mrs Lanchbery did NOT, however, include such instructions to Mr Ali, and he did NOT, therefore, investigate whether or not Dr Fredrics was threatened or otherwise pressurized by his colleagues, and whether or not this may have ultimately led to the targeting for elimination of Dr Fredrics by some of his colleagues through a collective grievance, one that was issued in much the same manner as had been done in order to eliminate Dr Fredrics' manager.
Following the alleged interviews by Mr Ali of alleged complainants, Dr Fredrics requested copies of signed statements by each of the complainants detailing their alleged individual complaints. This request was repeatedly categorically refused by the University. To date, he has not seen a single signed statement based on alleged interviews with Mr Ali.
The following is an e-mail from Dr Fredrics' union representative, Chris Wills to Liz Lanchbery in which Mr Wills raises concerns about the grievance process and the way in which it was initiated and conducted:-

What does this letter suggest to you as far as the way in which a collective grievance was developed?
Does instructing all staff to refrain from having contact with Dr Fredrics constitute a form of 'undue pressure' (i.e. witness intimidation)?
In light of the fact that none of Dr Fredrics' witnesses were contacted nor interviewed, could the grievance have been fairly and impartially investigated?
Do you think it is fair for the University to have witheld copies of alleged statements by Dr Fredrics' colleagues?
Why do you think they witheld copies of these alleged statements (assuming that they even exist)?
Could it have been because the statements implicated HR in the development of the grievance?
Do you think that the failure to conduct a FULL investigation, not only of allegations against Dr Fredrics, but also of charges of bullying by Dr Fredrics' colleagues means that the investigation was, from the outset, fatally flawed?
What do you think?
Time to 'Fix' a Vaguely Worded Grievance?
During the course of Zafar Ali's alleged interviews with complainants, he apparently advised them that their grievance against Dr Fredrics was vague and weak.
But is it really appropriate for a supposedly 'independent' investigator to be giving advice to an employer on how to fix a poorly worded grievance?
If he does this, how can he be said to be acting in a fair, impartial or unbiased manner?
Read on.....
Why did Carol Gartrell write to the Director of Personnel and the Dean to inform them of what Mr Ali had said about the collective grievance?
Was she expecting them to act to somehow 'fix' the weaknesses of the grievance?
Why did she consult with senior management about whether or not this observation by Mr Ali would weaken the case against Dr Fredrics?
Could Dr Gartrell have wanted to have senior management's reassurance that that no matter what, the grievance, having been pre-ordained, would be upheld by senior management and that Dr Fredrics would be dismissed?
Did Mr Ali then go back to Personnel to discuss the weaknesses of the grievance, as he said he might do, and to offer advice on how to acheive their desired outcome of using his investigation to provide cover for the dismissal of Dr Fredrics?
Was this a fair handling of the process?
What do YOU think?
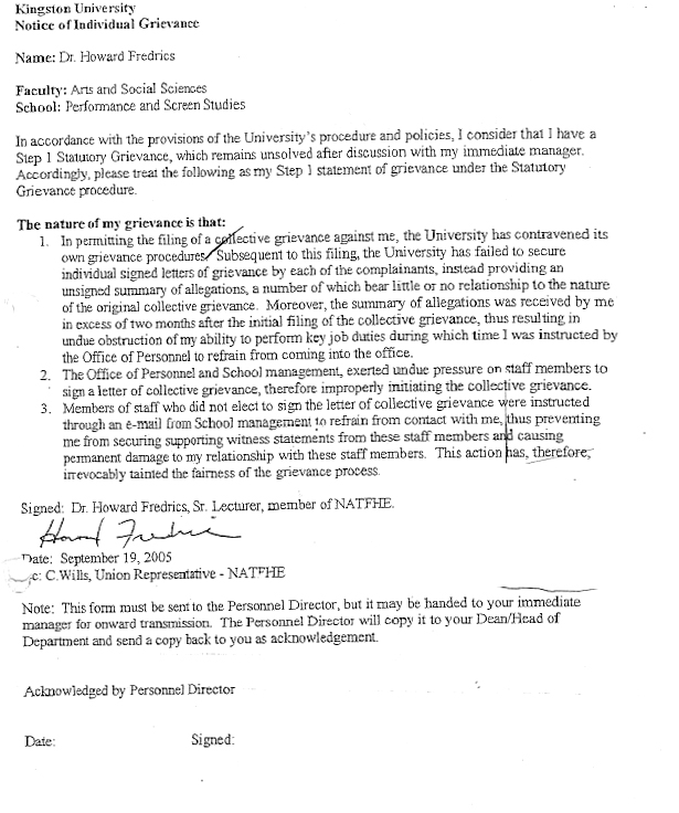
Following the filing of the collective grievance against Dr Fredrics, and after learning how the grievance was developed and implemented, he filed a grievance alleging improper involvement by management in the creation and implementation of the collective grievance:-

In light of the e-mails shown above, what do YOU think about Management's role in the development and implementation of the collective grievance against Dr Fredrics?
Is it possible for a grievance signed in response to specific requests from Management to be said to be done without coercion or undue pressure?
What do YOU think?
Dateline 17 October 2007: Kingston University FINALLY Produces Alleged Witness Statements
After more than two years of stonewalling, the University has, in response to a legal requirement under the Data Protection Act, finally turned over what it claims are witness statements given to 'independent' investigator Zafar Ali. However, none of these alleged statements are signed.
What the alleged statements reveal is that CONTRARY to Mr Ali's testimony during Dr Fredrics' March 2006 grievance hearing, there was a wide consensus of staff willingness to engage in mediation to resolve their alleged complaints against Dr Fredrics. The only staff member who appears unwilling to mediate her dispute with Dr Fredrics is Dr Carol Gartrell, at the time, Acting Head of School, while ALL other staff express willingness to engage in mediation.
WHY did Zafar Ali state that all but one staff member was UNWILLING to engage in mediation?
What do YOU think?
Furthermore, throughout the alleged statements, the witnesses indicate that the reason they signed a collective grievance against Dr Fredrics was because they were advised to do so, either directly or indirectly (through Dr Gartrell) by HR and the Dean (Prof Gail Cunningham).
The following are quotes from alleged witness statements:
"I querried whether [filing a grievance] was appropriate? [I was told that] without me [the grievance would have] little or no value."
"[The grievance was] drafted by Carol Gartrell. I was not involved. [The grievance was] submitted to Head of Personnel and Dean for approval then circulated to colleagues."
"It's Carol Gartrell who has been in contact with personnel and management. [Carol Gartrell told me that] the only way to stop it [the situation with Dr Fredrics] was to take action. Implication was that Carol Gartrell had been advised [by personnel and management]. [I had] no involvement [in deciding the wording of the grievance]. First presented [to me] by Carol Gartrell."
"I am deeply worried about what we have done, but stand by it. I believe there had been discussions with Management. Management advice was to put in a grievance --- alongside other issues. I am very overworked. I had doubts about putting it in a grievance form. I was told others were going to sign."
Is this the way truly genuine complaints should be raised - i.e. under the 'advice' of management?
What do YOU think?
If management wanted to get rid of Dr Fredrics, why didn't THEY initiate disciplinary action?
Could it be because there was insufficient basis for them to do so, thereby necessitating the creation of a 'collective grievance' in order to 'legitimise' their decision to dismiss Dr Fredrics?
What do YOU think?
Why did the University fail to provide Dr Fredrics with copies of ANY witness statements from alleged complainants?
Apparently, according to the Director of Personnel, Liz Lanchbery (aka Liz Scholey), who testified before the Board of Governors on 15 November 2006, it was because the University was afraid that if Dr Fredrics saw these actual statements, he would harm the alleged complainants.
If they even exist, do the alleged witness statements implicate Personnel/HR for their role in orchestrating the ultra vires collective grievance?
In a recent interview, when asked whether or not the University had initially been given a copy of his alleged notes from interviews with complainants, Zafar Ali has this to say:
"..and I thought they [HR/Personnel] wanted all my notes. And I met with them, saying 'you can't have my notes because they told us things that may affect Human Resources.'"
Mr Ali explained further that he couldn't very well turn over the notes to HR/Personnel because he might later have to question them on their contents.
What WAS in those alleged notes? Were there, indeed, statements that implicated HR/Personnel in orchestrating the collective grievance?
If so, is THAT the REAL reason why the University has, to date, refused to turn over signed statements from complainants?
What do YOU think?
The Final Blow - Dismissal on 19 July 2006
Following a disciplinary hearing conducted on 28 June 2006 by Prof Gail Cunningham, Dr Fredrics was dismissed from his position as Senior Lecturer.
Although Dr Fredrics had requested that the University produce witnesses who had allegedly made complaints against him so that he or his representative could cross-examine them, the University categorically refused to permit them to attend.
The University's Disciplinary Procedures, however, states the following:-
The only 'witnesses' produced by the University were Frank Whately, the newly appointed Head of School, who had never worked with Dr Fredrics and Zafar Ali, the 'independent' investigator, whose report was used as the primary piece of 'evidence' against Dr Fredrics.
Prior to the disciplinary hearing, a meeting was held on 25 May 2006 with the Personnel Director, Elizabeth Lanchbery (aka Liz Scholey), Personnel Officer, Jas Lally, and Prof Cunningham, who was to chair the hearing.
The following are the handwritten notes from that meeting:-


Let's take each element point by point.....
At the top of the page is a set of £ costs of employing not only Dr Fredrics, but his wife, Lori Fredrics!
Why is the University discussing the costs of employing Ms Fredrics in the same context as a meeting in which Dr Fredrics is the prime subject?
1) Next, there is a reference to Dr Fredrics' contract and work permit status.
Then a discussion of the so called 'restructuring' of the School of Music in which the possibility of making Dr Fredrics 'redundant' is raised.
It is then noted that in order to make this redundancy 'genuine' it would have to be applied fairly to other staff, making a part-time Music Technology staff member, Paul Archbold redundant as well.
Then it is discussed that if they want to keep Paul Archbold and not make BOTH Dr Fredrics and Dr Archbold redundant, they'd THEN have to go ahead with the disciplinary hearing and set dates for that hearing.
Does this suggest that the University was already determined to get rid of Dr Fredrics one way or another, whether by redundancy or by dismissal, notwithstanding the fact that they had not yet afforded him an opportunity to have a fair disciplinary hearing?
2) Then, there is some discussion of presenting various dates for grievance appeal and disciplinary hearings, with an apparent presumption that Dr Fredrics would not attend nor would he send a representative (as he ended up doing, due to poor health) to appear in his place, thereby affording the University the opportunity to hold the hearings in his absence.
Why would the University have assumed this would be the case? Does it appear that they are almost eager for this scenario to play out this way? If so, why would they want Dr Fredrics or his representative to not attend his disciplinary hearing?
Could it be that they wanted to be able to dismiss him without him being able to later claim that the University refused to allow him to call witnesses who had allegedly lodged complaints against him?
3) Then the discussion turns to a settlement offer:-
Various provisions are discussed, including "gardening" leave, which is favoured by Prof Cunningham
The issue of Dr Fredrics' work permit is also raised, and the University appears well aware that Dr Fredrics will lose his residence permit, once any extension applied for by the University expires.
But THEN, a condition of the settlement agreement appears to link Lori Fredrics's departure, with a payment of a year's worth of salary.
Do you think it is unusual to link the compromise agreement of one staff member with that of his/her spouse?
Why is the School of Music so eager to get rid of its two last remaining Jewish staff members?
What do YOU think?
Some final questions....
Why was the subject of the cost of employing Dr and Mrs Fredrics the first topic of discussion of the meeting?
Could it have been so that this cost could be used to calculate how much it would cost to get rid of Dr and Mrs Fredrics?
Did the University, indeed, decide to sack or force out Dr & Mrs Fredrics prior to Dr Fredrics' disciplinary hearing?
If so, was it fair for the University to have decided in advance of Dr Fredrics' disciplinary hearing that he would be sacked or forced out?
Was it fair for the University to link the termination of a spouse in a compromise agreement?
Last, but certainly not least...was it fair for Prof Cunningham to chair a disciplinary hearing when she had been actively invovled in discussions regarding the termination of Dr Fredrics, either through redundancy or through a compromise agreement, and when she had actively advanced the view that she wanted to place Dr Fredrics on "gardening" leave as a prelude to his termination?
What does this tell you about Kingston University's disciplinary procedures?
Is it possible to have a fair and unbiased grievance, disciplinary or appeal hearing at Kingston University?
What do YOU think?
n.b. Earlier, in March 2006, the University had approached Dr Fredrics to negotiate an agreement to get Dr Fredrics to resign. Terms could not be agreed upon, but then, the Vice-Chancellor, Prof Peter Scott, made an inappropriate reference to the terms of 'Without Prejudice' negotiations as part of his written reasons for why he would not allow Dr Fredrics to go through mediation with his colleagues. Later, the University returned to the negotiating table, but terms still could not be agreed between the parties. The University made its 'final' settlement offer on 15 June 2006, which was rejected by Dr Fredrics on 22 June 2006, after Dr Fredrics learned that the University had turned in an inadequate AHRB final report on his behalf and without his knowledge, instead of allowing him to have access to the materials he needed to prepare the report himself. The report was deemed 'unsatifactory' by the ARHB, thereby subjecting Dr Fredrics to a possible 2-year ban on applying for funding (the ban was reversed once Dr Fredrics learned of the University's actions and after he was finally able to access the materials needed to write a revised report deemed to be satisfactory by the AHRB).
So why the need for a meeting on 25 May 2006?
Could this have been in order to create a scenario for pressuring Dr Fredrics into a 'low ball' settlement while he was under threat of dismissal, and once he was in a weakened position healthwise?
What do YOU think?

The following is Dr Fredrics's grievance of October 18, 2005, in which he alleges various ways in which he was victimized for having made protected disclosures, in accordance with the Public Interest Disclosure Act 1998:-

After Personnel Director, Liz Lanchberry refused to hear the grievance, as mandated by University Policy and Statutory Dispute Resolution Regulations (2004), Dr Fredrics appealed her decision to Vice-Chancellor, Sir Peter Scott, who finally heard the case in March, 2006.
His finding was to reject the grievance in its entirety.
But PRIOR to rendering and publishing his decision, Prof Scott DID have an extraordinary e-mail exchange with Mrs Lanchbery, in which, in order to reassure her that his decision would not be to uphold Dr Fredrics' grievance to the extent that would have rendered the collective grievance against him invalid, he wrote the following message to her:-

What is remarkable about this e-mail is that Prof Scott agrees that the collective grievance procedure was improperly utilized because managers (i.e. Dr Carol Gartrell) failed to manage properly. Since Mrs Lanchbery had advised Dr Gartrell to utilize this procedure (and even approved its wording), does she, herself, not bear the blame for breaching University grievance procedures instead of actually assisting with conflict resolution? Should Mrs Lanchbery have known better than to tell staff to misuse the grievance procedures to seek disciplinary action against Dr Fredrics instead of working to enact mediation to resolve differences?
But if Prof Scott was acting objectively and impartially, as he was supposed to do, why did he feel the need to use the apologetic phrase, "Don't worry" to Mrs Lanchbery, almost as if to say, 'Don't worry, I won't rule that your actions in encouraging the collective grievance were entirely improper -- I'll protect you and won't let you take the fall by ruling that the underlying basis for the grievance was legitimate, despite the tainted process?"
Why INDEED?
On 22 June, 2006, Dr Fredrics filed an additional grievance extending the scope of detriments incurred as a result of his having made various protected disclosures:-


The University summarily refused to hear this grievance.
Dr Fredrics was then dismissed by Prof. Gail Cunningham on July 19, 2006.
The University's Disciplinary Procedures, however, states the following:-
What does her participation in the aforementioned 25 May 2006 meeting and the following e-mail message suggest, however, about Prof Cunningham's involvement in the circumstances of the case?

Except in incidents of Gross Misconduct, the University's Disciplinary Procedures does not allow for dismissal without warning. The following passage outlines this aspect of policy:- 
Dr Fredrics was NOT given a formal written warning prior to his dismissal.
He was NOT accused of nor was he found to have committed Gross Misconduct.
Instead, he was summarily dismissed without a warning, without mediation, without an opportunity to transfer to another part of the University, and without an opportunity to modify his conduct.
The following is a letter by which Dr Fredrics was summarily dismissed:-





Prof Gail Cunningham
Dean of FASS
In the University's view, Dr Fredrics was dismissed for 'Misconduct' (NOT Gross Misconduct) and 'Some Other Substantial Reason' for allegedly having caused a 'breakdown in working relationships.'
Here is a legal opinion on such matters:-
When Whistleblowing Leads to
Bullying at Work
By Stig Berge Matthiesen
(Associate Professor)
Univeristy of Bergen,
Norway
Whistleblowing can be defined as the act that takes place when an
employee is witnessing wrongdoing in the work place (e.g. unethical
conduct, corruption, violence or bullying against others, criminal
acts etc.) from a fellow employee or a superior (or a group of
employees or superiors), and he or she then tries to stop the
wrongdoing by informing a leader or someone who is in the position to
stop the wrongdoing. This telling about the wrongdoing may be done
internally or externally. In the whistleblowing literature it is
common to differentiate between whistleblowing and informing. A
whistleblower does not take action with the intent to promote their
own career ambitions. Blowing the whistle concerns important ethical
or societal issues, and the whistleblower may feel that he or she
does not have the conscience to just keep quiet. Lives may be lost,
serious pollution may get out of control, human rights may be
seriously violated, or the company may get liquidated, if someone
does not take action. On the other hand, if you want to get even with
your colleague, or express something negative about him or her to
your boss, then you act as an informer, not as a whistleblower. Many,
including those in the judicial system, find it difficult to
differentiate between acts of whistleblowing and acts of informing.
Mixed cases may of course also exist.
Some whistleblowers are rewarded, and gain career promotion. An
example of this happened when 3 middle managers were appointed
as "name of the year" in USA in December 2002 by Time Magazine. They
had reported severe corruption (in the World Com and Enron companies)
or criminal neglect (in the FBI system after the 11th of September)
to their superiors, in order to stop the wrongdoing. First they were
ignored, but they never gave up. However, some whistleblowers
experience the opposite of being rewarded. Ingratitude is the way of
the world, they realised instead. Some whistleblowers are exposed to
severe bullying after they blew the whistle. They can be met with
severe intra group or career sanctions that may lead to major health
problems, even to symptoms of PTSD. A typical way of punishing or
sanctioning a whistleblower is to meet him or her with tough
ostracism, to completely isolate the person from others or from work
tasks. Many of whistleblowers are simply sacked from their job, or
their work contracts are not renewed. They may even experience that
rumours about this "disloyal" worker are spread around, to other
companies as well, making it extremely difficult for the person who
blew the whistle to obtain another job.
One of the whistleblowers I met as part of my job as a researcher and
counsellor in the field of occupational health psychology, Mr. X,
worked as a prison officer in a sub-unit of a major prison. In this
job he was confronted with many episodes of unethical or criminal
acts conducted not by the prisoners, but by his fellow prison
officers. A relatively influential group of his colleagues
constituted the problem. The organizational culture of the unit, with
e.g. severe corruption, was in his opinion out of control. At least
this was what he realized after several years with gradual decline of
the general professional conduct in the ward. He found this negative
development impossible to tolerate. When Mr. X took action and
informed the management of the prison, he was treated as a Judas or
traitor, not only by his fellow colleagues, but also by the union
representatives.
He was then socially isolated, being transferred to another job as an
industrial guard in the prison system without being asked about his
own opinion. In his "new job" he would not have any regular contact
with any colleagues or inmates, as a "persona non grata". When he was
met with the impact of all the sanctions imposed upon him, he
suffered a nervous breakdown. The break down turned into a long
lasting sick leave. After some years, with several episodes of
successive long term sick leave, he was granted disability benefit.
After some of his old mental strength had returned, he took his case
to the court, but lost.
As part of the judicial process, Mr. X was tested extensively by
various psychological tests (MMPI-2, SCL-90, GHQ-30, among those) by
2 expert witnesses (I was one). We, as expert witnesses, also
conducted several interviews with him. The psychological tests all
revealed the same picture. Mr. X suffered from severe mental health
problems (depression, anxiety, concentration difficulties, and
bizarre imaginations, among others). About 18 months after the trial
ended his case was taken to the appeal court. The story repeats
itself – he loosed again. Did his mental health further deteriorate
after such an experience? About 2 months after the last court trial,
Mr. X ,went through the same kind of psychological screening. All
tests revealed that he had recovered his mental strength, quite
contrary to my expectations in advance. Mr. X's own explanation was
that even if he lost the court trials, and even after being out of
working life against his own will, he had been able through this
process to achieve a kind of psychological redress. The judicial
process, and all the people he had been in contact with therein, gave
him access to extensive moral and social support, he claimed.
Suddenly Mr. X was heard and understood by his surroundings. He was
no longer confused. Thus, Mr. X now recognized the interconnection
between the various things that had occurred in relation to him
blowing the whistle. Sense of coherence, shattered assumptions being
recovered, cognitive dissonance being replaced by cognitive
consonance, are but some of the psychological processes that may
explain why Mr. X recovered.
In sum, exposure to bullying and harassment may be the consequences
of blowing the whistle on your colleagues or your organization. This
may be the case, in particular, in organizations that lack experience
with how to handle whistleblowing. A defensive reaction when someone
blows the whistle is to "kill the messenger", instead of preventing
or interfering with the alleged acts of wrongdoing. Poor leadership
skills should also be considered as an important intermediate factor
when whistleblowing ends with bullying. Usually, the leader will have
a (high) work task orientation, combined with a minor (low) level of
people orientation. Hence, many whistleblowers may realize that they
may be exposed to strong work place sanctions following
whistleblowing, such as severe ostracism or even risk of losing their
job or any positive or meaningful parts of their current job. Such an
unfair and destructive process must be prevented. Still, as seen in
the presented case, some of the bullied whistleblowers are able to
maintain their mental health irrespective of this, and they may
recover. The case of Mr. X may illustrate this. Psychological redress
may constitute an important explanation of such mental recovery. As
occupational health psychologists, we may have a role to play in that
respect.
Email: stig@uib.no
Carol Gartrell
Takes Early 'Retirement' Package
Following the premature strike-out of Dr Howard Fredrics' Employment Tribunal claim against Kingston University, Dr Gartrell has apparently decided to accept an early 'retirement' package from the University.
Was she no longer of use to the University, once her role as a witness in the Tribunal case became unnecessary?
Did the University give her a special 'sweetheart' deal to reward her for upholding the 'party line' position?
Or did she see the writing on the wall of compulsory redundancy, were she to refuse the University's offer?
In any event, we wish Dr Gartrell a pleasant retirement, secure in the knowledge that Dr Fredrics was unable to continue to pose a 'threat' to her during the course of her final years at the University, and certain of her view that she never once breached a University rule or policy.